网站首页  词典首页


请输入您要查询的字词:

 

字词 盐酸奥美替丁
类别 中英文字词句释义及详细解析
释义 盐酸奥美替丁

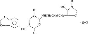
C19H21N5O3S·2HCl=472.39

CAS-63204-23-9

CAS-72830-39-8(oxmetidine)

5-(1,3-苯并间二氧杂环戊烯-5-基甲基)-2-[[2-[[(5-甲基-1H-咪唑-4-基)甲基]硫代]乙基]氨基]-4(1H)嘧啶酮,二盐酸盐。

5-(1,3-Benzodioxol-5-ylmethyl)-2-[[2-[[(5-methyl-1H-imidaz-ol-4-yl)methyl]thio]ethyl]amino]-4(lH)-pyrimidinone,dihydrochloride.

2-[[2-[[(5-甲基咪唑4-基)甲基]硫代]乙基]氨基]-5-胡椒基-4(1H)-嘧啶酮二盐酸盐。

2-[[2-[[(5-Methylimidazol-4-yl)methyl]thio]ethyl]amino]-5-piperonyl-4(1H)-pyrimidin one dihydrochloricde.

组胺H2-受体阻滞药(抗溃疡,抗组胺药)。

Cxmetidine Hydrochloride,SK&F 92994-A2

INN&BAN(Oxmetidine).

随便看

 

离鸟网收录3541549条中英文词条,其功能与新华字典、现代汉语词典、牛津高阶英汉词典等各类中英文词典类似,基本涵盖了全部常用中英文字词句的读音、释义及用法,是语言学习和写作的有利工具。

 

Copyright © 2004-2024 vtrois.com All Rights Reserved
更新时间:2026/4/8 16:31:52