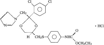
盐酸妥布氯唑
C23H23Cl2N3O4S·HCl=544.88 CAS-83529-08-2 CAS-84697-22-3(free base) 顺-(±)-[4-[[[2-(2,4-二氯苯基)-2-(1H-咪唑-1-基甲基)-1,3-二氧戊环-4基]甲基]硫代]苯基]-氨基甲酸,乙酯,单盐酸盐。 Carbamic acid[4-[[[2-(2,4-dichlorophenyl)-2-(1Himidazol-1-ylmethyl)-1,3-dioxolan-4-yl]methyl]thio]phenyl]-,ethyl ester,monohydrochloride,cis(±)-. (±)-顺-对-[[[2-(2,4-二氯苯基)-2-(咪唑-1-基甲基)-1,3-二氧戊环-4-基]甲基]-硫代]苯氨基甲酸乙酯,单盐酸盐。 Ethyl(±)-cis-p-[[[2-(2,4-dichlorophenyl)-2-(imidazol)-1-ylmethyl)-1,3-dioxolan-4-yl]methyl]-thio]carbanilate,monohydrochloride. 抗肿瘤药,抗真菌药。 Tubulozole Hydrochloride,R 46,846. INN,USAN.  |