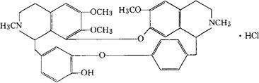
盐酸小檗胺
C37H40N2O6·HCl=681.77 CAS-476-61-5(berbamine) 6,6′,7-三甲氧基-2,2′-二甲基小檗满-12-醇单盐酸盐。 6,6′,7-Trimethoxy-2,2′-dimethylberbaman-12-ol monohydrochloride. 白细胞增生药,具有抗结核菌、降压、升白细胞的作用。用于恶性肿瘤患者由于放、化疗引起的白细胞减少及慢性苯中毒等原因所致的白细胞减少症等。 Berbamine Hydrochloride. 盐酸小檗胺片。 Ml.  |