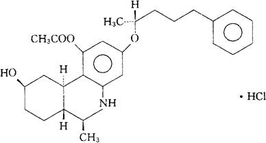
盐酸左南曲朵
C27H35NO4·HCl=474.04 CAS-70222-86-5 CAS-71048-87-8(levonantradol) 5,6,6a,7,8,9,10,10a-八氢-6-甲基-3-(1-甲基-4-苯基丁氧)-,1,9-菲啶二醇,1-醋酸酯,盐酸盐[6S-[3(S*),6α,6aα,9α,10aβ]]-。 1,9-Phenanthridinediol,5,6,6a,7,8,9,10,10a-octahydro-6-methyl-3-(1-methyl-4-phenylbutoxy)-,1-acetate,hydrochloride,[6S-[3(S*),6α,6aα,9α,10aβ]]-. (-)-(6S,6aR,9R,10aR)-5,6,6a,7,8,9,10,10a-八氢-6-甲基-3-[(R)-1-甲基-4-苯丁氧基]-1,9-菲啶二醇-1-醋酸酯,盐酸盐。 (-)-(6S,6aR,9R,10aR)-5,6,6a,7,8,9,10,10aOctahydro-6-methyl-3-[(R)-1-methyl-4-phenylbutoxy]-1,9-phenanthridinediol-1-acetate,hydrochloride. 镇痛药。 盐酸左南曲多。 Levonantradol Hydrochloride,CP-50,556-1. 盐酸左南曲朵。 INN & BAN(Levonantradol),USAN.  |