盐酸左卡巴斯汀
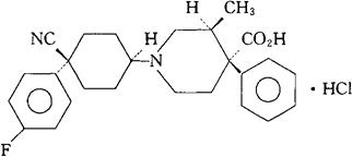
C26H29FN2O2·HCl=456.99 CAS-79547-78-7 CAS-79516-68-0(levocabastine) (-)-[1-(顺式),3α,4β]-1-[4-氰基-4-(4-氟苯基)环己基]-3-甲基-4-苯基-4-哌啶羧酸,单盐酸盐。 (-)-[1-(cis),3α,4β]-1-[4-Cyano-4-(4-fluorophenyl)cyclohexyl]-3-methyl-4-phenyl-4-piperidinecarboxylic acid,monohydrochloride. (-)-反式-1-[顺式-4-氰基-4-(对-氟苯基)环己基]-3-甲基-4-苯基异哌啶甲酸单盐酸盐。 (-)-trans-1-[Cis-4-Cyano-4-(p-fluorophenyl)cyclohexyl]-3-methyl-4-phenylisonipecotic acid monohydrochloride. 抗组胺药。 Levocabastine Hydrochloride,R50,547. INN & BAN(Levocabastine),USAN.  |