网站首页  词典首页


请输入您要查询的字词:

 

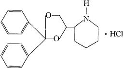
字词 盐酸左苯噁啶
类别 中英文字词句释义及详细解析
释义 盐酸左苯噁啶

C20H23NO2·HCl=345.87

CAS-23257-58-1

(-)-2-(2,2-二苯基-1,3-二氧戊环-4-基)哌啶盐酸盐。

(-)-2-(2,2-Diphenyl-1,3-dioxolan-4-yl)piperidine hydrochloride.

平滑肌松弛药。

Levoxadrol Hydrochloride,Levoxan.

USAN,MI.

随便看

 

离鸟网收录3541549条中英文词条,其功能与新华字典、现代汉语词典、牛津高阶英汉词典等各类中英文词典类似,基本涵盖了全部常用中英文字词句的读音、释义及用法,是语言学习和写作的有利工具。

 

Copyright © 2004-2024 vtrois.com All Rights Reserved
更新时间:2026/4/6 12:52:12