网站首页  词典首页


请输入您要查询的字词:

 

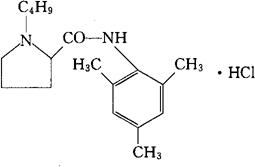
字词 盐酸布美卡因
类别 中英文字词句释义及详细解析
释义 盐酸布美卡因

C18H28N2O·HCl=324.89

CAS-19089-24-8

1-丁基-2,4,6-三甲基-2-吡咯烷甲酰苯胺。

1-Butyl-2,4,6-trimethyl-2-pyrrolidinecarboxanilide.

1-丁基-N-(2,4,6-三甲基苯基)-2-吡咯烷甲酰胺。

1-Butyl-N-(2,4,6-trimethylphenyl)-2-pyrrolidinecarboxamide.

局部麻醉药。2~2.5%溶液供临床应用。

盐酸吡甲卡因,盐酸丁麦卡因。

Bumecaine Hydrochloridum,Pyromecaine Hydrochloridum.

随便看

 

离鸟网收录3541549条中英文词条,其功能与新华字典、现代汉语词典、牛津高阶英汉词典等各类中英文词典类似,基本涵盖了全部常用中英文字词句的读音、释义及用法,是语言学习和写作的有利工具。

 

Copyright © 2004-2024 vtrois.com All Rights Reserved
更新时间:2026/4/7 17:02:25