网站首页  词典首页


请输入您要查询的字词:

 

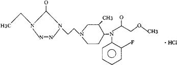
字词 盐酸布芬太尼
类别 中英文字词句释义及详细解析
释义 盐酸布芬太尼

C20H29FH6O3·HCl=456.95

CAS-117268-95-8

顺式-(±)-N-[1-[2-(4-乙基-4,5-二氢-5-氧-1H-四唑基)乙基]-3-甲基-4-哌啶基]-N-(2-氟苯基)-2-甲氧基乙酰胺单盐酸盐。

cis-(±)-N-[1-[2-(4-Ethyl-4,5-dihydro-5-oxo-1Htetrazolyl)ethyl]-3-methyl-4-piperidinyl]-N-(2-fluorophenyl)-2-methoxyacetamide,monohydrochloride.

(±)-顺式-N-[1-[2-(4-乙基-5-氧-2-四唑啉-1-基)乙基]-3-甲基-4-哌啶基]-2′-氟-2-甲氧基-乙酸苯胺单盐酸盐。

(±)-cis-N-[1-[2-(4-Ethyl-5-oxo-2-tetrazolin-1-yl)ethyl]-3-methyl-4-piperidyl]-2′-fluoro-2-methoxyacetan-ilide monohydrochloride.

镇痛药(麻醉)。

Brifentanil Hydrochloride,A-3331.

USAN.

随便看

 

离鸟网收录3541549条中英文词条,其功能与新华字典、现代汉语词典、牛津高阶英汉词典等各类中英文词典类似,基本涵盖了全部常用中英文字词句的读音、释义及用法,是语言学习和写作的有利工具。

 

Copyright © 2004-2024 vtrois.com All Rights Reserved
更新时间:2026/4/7 5:14:45