网站首页  词典首页


请输入您要查询的字词:

 

字词 盐酸布那唑嗪[中]
类别 中英文字词句释义及详细解析
释义 盐酸布那唑嗪[中]

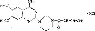
C19H28ClN5O3=409.91

CAS-52712-76-2

4-氨基-2-(4-丁酰基六氢-1H-1,4-二氮杂-1-基)-6,7-二甲氧基-喹唑啉盐酸盐。

4-Amino-2-(4-butyrylhexahydro-1H-1,4-diazepine1-yl)-6,7-dimethoxy-quinazolin hydrochloride.

α1-受体阻滞药。用于治疗原发性高血压、肾性高血压、嗜铬细胞瘤引起的高血压。

盐酸布纳唑嗪。

Bunazosin Hydrochloride.

INN,USAN(Bunazosin).

随便看

 

离鸟网收录3541549条中英文词条,其功能与新华字典、现代汉语词典、牛津高阶英汉词典等各类中英文词典类似,基本涵盖了全部常用中英文字词句的读音、释义及用法,是语言学习和写作的有利工具。

 

Copyright © 2004-2024 vtrois.com All Rights Reserved
更新时间:2026/4/8 0:09:02