网站首页  词典首页


请输入您要查询的字词:

 

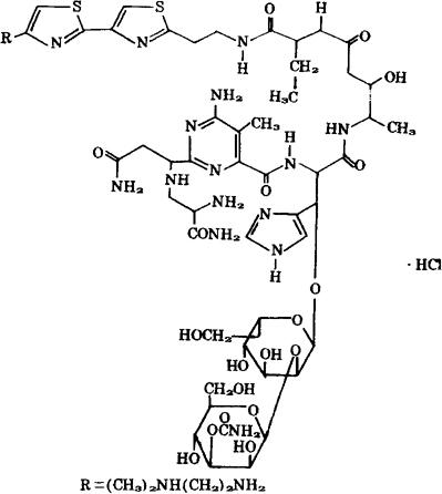
字词 盐酸平阳霉素[中]
类别 中英文字词句释义及详细解析
释义 盐酸平阳霉素[中]

博来霉素A5盐酸盐。

Bleomycin A5hydrochloride.

N′-[3-[(4-氨基丁基)氨基]丙基]博来霉素酰胺盐酸盐。

N′-[3-[(4-Aminobutyl)amino]propyl]bleomycinamide hydrochloride.

抗肿瘤药。

用于颈部以上的癌症,特别是鱼鳞癌。

博来霉素A5

BleomycinA5,Pingyangmycin Hydrochloride.

注射用平阳霉素(注射用争光霉素A5)。

随便看

 

离鸟网收录3541549条中英文词条,其功能与新华字典、现代汉语词典、牛津高阶英汉词典等各类中英文词典类似,基本涵盖了全部常用中英文字词句的读音、释义及用法,是语言学习和写作的有利工具。

 

Copyright © 2004-2024 vtrois.com All Rights Reserved
更新时间:2026/4/7 10:50:16