网站首页  词典首页


请输入您要查询的字词:

 

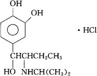
字词 盐酸异他林
类别 中英文字词句释义及详细解析
释义 盐酸异他林

C13H21NO3·HCl=275.77

CAS-2576-92-3

CAS-530-08-5(isoefharine)

4-[1-羟-2-[(1-甲基乙基)氨基]丁基]-1,2-苯二醇盐酸盐。

4-[1-Hydroxy-2-[(1-methylethyl)amino]butyl]-1,2-benzenediol,hydrochloride.

3,4-二羟-α-[1-(异丙氨基)丙基]苄醇盐酸盐。

3,4-Dihydroxy-α-[1-(isopropylamino)propyl]benzyl alcohol hydrochloride.

α-(1-异丙氨基)-儿原茶基醇,盐酸盐。

α-(1-Isopropylaminopropyl)protocatechuyl alcohol hydrochloride.

支气管扩张药。

Isoetharine Hydrochloride,Isoefarine Hydrochlorlde,Numotac,Asthmalitan.

BAN,SUAN,USP.

随便看

 

离鸟网收录3541549条中英文词条,其功能与新华字典、现代汉语词典、牛津高阶英汉词典等各类中英文词典类似,基本涵盖了全部常用中英文字词句的读音、释义及用法,是语言学习和写作的有利工具。

 

Copyright © 2004-2024 vtrois.com All Rights Reserved
更新时间:2026/4/6 16:02:05