盐酸昂丹司琼
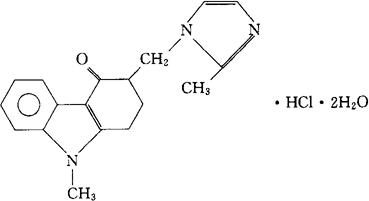
C18H19N3O·HCl·2H2O=365.86 CAS-103639-04-9 CAS-99614-02-5(ondamsetron) (±)-1,2,3,9-四氢-9-甲基-3-[(2-甲基-1H-咪唑-1-基)甲基]-4H-咔唑-4-酮,单盐酸,二水化合物。 (±)-1,2,3,9-Tetrahydro-9-methyl-3-[(2-methyl1H-imidazol-l-yl)methyl]-4H-carbazol-4-one,monohydrochloride,dihydrate. (±)-2,3-二氢-9-甲基-3-[(2-甲基咪唑-1-基)甲基]咔唑-4(1H)-酮单盐酸盐二水化合物。 (±)-2,3-Dihydro-9-methyl-3-[(2-methylimidazol-lyl)methyl]carbazol-4(1H)-one monohydrochloride dihydrate. 镇吐药,5-羟色胺拮抗药。 翁旦斯隆,盐酸翁丹塞隆。 Ondansetron Hydrochloride,GR 38032F,Zofran. INN & BAN(Ondansetron),USAN.  |