网站首页  词典首页


请输入您要查询的字词:

 

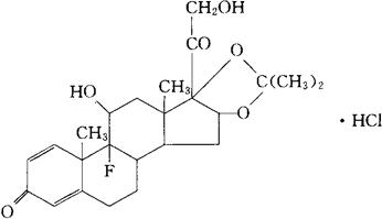
字词 盐酸曲安奈德
类别 中英文字词句释义及详细解析
释义 盐酸曲安奈德

C24H31FO6·HCl=470.96

CAS-76-25-5

9-氟-11β,16α,17,21-四羟孕甾-1,4-二烯-3,20-二酮与丙酮形成环-16,17乙缩醛的盐酸盐。

9-Fluoro-11β,16α,17,21-tetrahydroxypregna-1,4-diene-3,20-dione cyclic-16,17-acetal with acetonehydrochloride.

(11β,16α)-9-氟-11,12-二羟-16,17-[(1-甲基亚乙基)双(氧)]-孕甾-1,4-二烯-3,20-二酮盐酸盐。

(11β,16α)-9-Fluoro-11,12-dihydroxy-16,17-[(1-methylethylidene)bis(oxy)]-pregna-1,4-diene-3,20-dione hydrochloride.

肾上腺皮质激素类药。

用于活动性风湿性及类风湿性关节炎。

氟羟氢化泼尼松缩丙酮盐酸盐,盐酸去炎舒松,盐酸去炎松A,盐酸确炎舒松A,盐酸曲安缩松。

Triamcinolone Acetonide Hydrochloride.

盐酸曲安缩松软膏,盐酸曲安缩松注射液。

随便看

 

离鸟网收录3541549条中英文词条,其功能与新华字典、现代汉语词典、牛津高阶英汉词典等各类中英文词典类似,基本涵盖了全部常用中英文字词句的读音、释义及用法,是语言学习和写作的有利工具。

 

Copyright © 2004-2024 vtrois.com All Rights Reserved
更新时间:2026/4/6 13:19:09