盐酸曲马唑啉
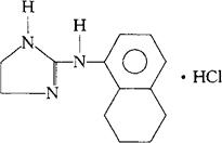
C13H17N3·HCl=251.76 CAS-3715-90-0 CAS-1082-57-1(tramazoline) 4,5-二氢-N-(5,6,7,8-四氢-1-萘基)-1H-咪唑-2-胺,单盐酸盐。 1H-Imidazol-2-amine,4,5-dihydro-N-(5,6,7,8-tetrahydro-1-naphthalenyl)-,monohydrochloride. 2-[(5,6,7,8-四氢-1-萘基)氨基]-2-咪唑啉单盐酸盐。 2-[(5,6,7,8-Tetrahydro-1-naphthyl)amino]-2-imidazoline monohydrochloride. 拟交感神经作用药,血管收缩药。 Tramazoline Hydrochloride,Toramazoline Hydrochloride,Biciron,Rhimogutt,Rhinospray. JAN,USAN.  |