网站首页  词典首页


请输入您要查询的字词:

 

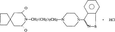
字词 盐酸替螺酮
类别 中英文字词句释义及详细解析
释义 盐酸替螺酮

C24H32N4O2S·HCl=477.06

CAS-87691-92-7

CAS-87691-91-6(tiospirone)

8-[4-[4-(1,2-苯并异噻唑-3-基)-1-哌嗪基]丁基]8-氮杂螺[4,5]癸烷-7,9-二酮单盐酸盐。

8-Azasplro[4,5-decane-7,9-dione,8-[4-[4-(1,2-benzisothiazol-3-yl)-1-piperazinyl]butyl],monohydrochloride.

N-[4-[4-(1,2-苯并异噻唑-3-基)-1-哌嗪基]丁基]-1,1-环戊基二乙酰亚胺单盐酸盐。

N-[4-[4-(1,2-Benzisothiazol-3-yl)-1-piperazinyl]butyl]-1,1-cyclopentanediacetimide monohydrochloride.

抗精神病药。

Tiospirone Hydrochloride,BMY 13859-1.

INN(Tiospirone),USAN.

随便看

 

离鸟网收录3541549条中英文词条,其功能与新华字典、现代汉语词典、牛津高阶英汉词典等各类中英文词典类似,基本涵盖了全部常用中英文字词句的读音、释义及用法,是语言学习和写作的有利工具。

 

Copyright © 2004-2024 vtrois.com All Rights Reserved
更新时间:2026/4/6 16:24:39