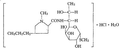
盐酸林可霉素[典]
C18H34N2O6S·HCl·H2O=461.01 CAS-7179-49-9 甲基-6,8-二去氧-6-(1-甲基-反式-4-丙基-L-2-吡咯烷甲酰胺基)-1-硫代-D-赤-α-D-半乳糖-辛吡喃糖甙盐酸盐一水化合物。 Methyl-6,8-dideoxy-6-(1-methyl-trans-4-propyl-L2-pyrrolidinecarboxamido)-1-thio-D-erythro-α-D-galacto-octopyranoside monohydrochlorid monohydrate. 抗生素类药。用于葡萄球菌、链球菌、肺炎球菌、厌氧菌等的感染。 盐酸洁霉素,盐酸林丝菌素(台)。 Lincomycin Hydrochloride,LincomycinaeHydrochloridum(台),Lincocin. 盐酸林可霉素片(盐酸洁霉素片),盐酸林可霉素注射液(盐酸洁霉素注射液,盐酸林丝菌素注射液),盐酸林可霉素胶囊。 BP,EP,JP,USAN,USP,MI.  |