盐酸格拉司琼
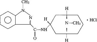
C18H24N4O·HCl=348.88 CAS-107007-99-8 内-1-甲基-N-(9-甲基-9-氮杂双环[3.3.1]壬-3-基)-1H-吲唑-3-羧甲酰胺,单盐酸盐。 endo-1-Methyl-N-(9-methyl-9-azabicyclo[3.3.1]non-3-yl)-1H-indazole-3-carboxamide,monohydrochloride. 1-甲基-N-(9-甲基-内-9-氮杂双环[3.3.1]壬-3-基)-1H-吲唑-3-羧基酰胺单盐酸盐。 1-Methyl-N-(9-methyl-endo-9-azabicyclo[3.3.1]non-3-yl)-1H-indazole-3-carboxamide monohydrochloride. 5-羟色胺拮抗药。 Granisetron Hydrochloride,BRL 43694A. USAN.  |