网站首页  词典首页


请输入您要查询的字词:

 

字词 盐酸棕榈克林霉素
类别 中英文字词句释义及详细解析
释义 盐酸棕榈克林霉素

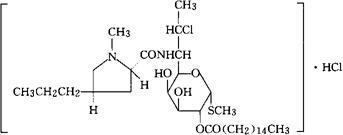
C34H63ClN2O6S·HCl=699.86

CAS-25507-04-4

CAS-36688-78-5(clindamjycin palmitate)

(2S-反式)-甲基7-氯-6,7,8-三脱氧-6-[[(1-甲基-4-丙基-2-吡咯烷基)羰基]氨基]-1-硫代-2-十六烷酸酯L-苏-α-D-辛吡喃半乳糖甙单盐酸盐。

Methyl 7-chloro-6,7,8-trideoxy-6-[[(1-methyl-4-propyl-2-pyrrolidinyl)carbonyl]amino]-1-thio-2-hexadecanoate-L-threo-α-D-galactooctopyranoside monohydrochloride,(2S-trahs).

甲基7-氯-6,7,8-三脱氧-6-(1-甲基-反式-4-丙基-L2-吡咯烷甲酰胺基)-1-硫代-L-苏-α-D-辛吡喃半乳糖甙-2-棕榈酸酯单盐酸盐。

Methyl 7-chloro-6,7,8-trideoxy-6-(1-methyl-trans4-propyl-L-2-pyrrolidinecarboxamido)-1-thio-L-threo-α-D-galacto-octopyranoside 2-palmitate monohydrochloride.

抗生素类药。

盐酸氯洁霉素棕榈酸酯,棕榈氯林可霉素盐酸盐。

Clindamycin Palmitate Hydrochloride,U-25,179 E,Cleocin,Dalacin,Dalacinc.

USAN,USP.

随便看

 

离鸟网收录3541549条中英文词条,其功能与新华字典、现代汉语词典、牛津高阶英汉词典等各类中英文词典类似,基本涵盖了全部常用中英文字词句的读音、释义及用法,是语言学习和写作的有利工具。

 

Copyright © 2004-2024 vtrois.com All Rights Reserved
更新时间:2026/5/25 10:48:29