盐酸正定霉素[典]
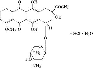
C27H29NO10·HCl·H2O=582.02 CAS-23541-50-6 CAS-20830-81-3(daunorubicin) (1S,3S)-3-乙酰-1,2,3,4,6,11-六氢-3,5,12-三羟-10-甲氧-6,11-二氧-1-并四苯基3-氨基-2,3,6-三去氧-α-L-来苏-己吡喃糖甙盐酸盐一水化合物。 (1S,3S)-3-Acetyl-1,2,3,4,6,11-hexahydro-3,5,12-trihydroxy-10-methoxy-6,11-dioxo-1-naphthacenyl 3-amino-2,3,6-trideoxy-α-L-lyxo-hexopyranoside hydrochloride hydrate. 抗肿瘤药。用于急性白血病及慢性淋巴细胞白血病,也用于恶性淋巴病等。 盐酸柔红霉素,盐酯红比霉素,红卫霉素,红保霉素C。 Daunorubicin Hydrochloride,Chengdingmycin Hydrochloride,Cerubidine,Rubidomycin Hydrochlo ride. 注射用盐酸正定霉素。 INN & BAN(Daunorubicin),JAN,USAN,USP,MI.  |