网站首页  词典首页


请输入您要查询的字词:

 

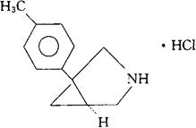
字词 盐酸比西发定
类别 中英文字词句释义及详细解析
释义 盐酸比西发定

C12H15N·HCl=209.72

CAS-66504-75-4

CAS-71195-57-8(bicifadine)

(±)-1-对-甲苯基-3-氮杂双环[3.1.0]己烷盐酸盐。

(±)-1-p-Tolyl-3-azabicyclo[3.1.0]hexane hydrochloride.

镇痛药。

Bicifadine Hydrochloride,CL 220,075.

INN,USAN.

随便看

 

离鸟网收录3541549条中英文词条,其功能与新华字典、现代汉语词典、牛津高阶英汉词典等各类中英文词典类似,基本涵盖了全部常用中英文字词句的读音、释义及用法,是语言学习和写作的有利工具。

 

Copyright © 2004-2024 vtrois.com All Rights Reserved
更新时间:2026/5/26 2:19:49