网站首页  词典首页


请输入您要查询的字词:

 

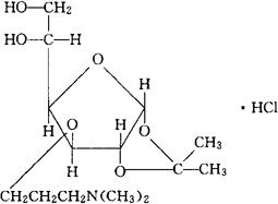
字词 盐酸氨普立糖
类别 中英文字词句释义及详细解析
释义 盐酸氨普立糖

C14H27NO6·HCl=341.83

CAS-60414-06-4

CAS-56824-20-5(amiprilose)

3-O-[3-(二甲氨基)丙基]-1,2-O-异丙烯基-α-D-呋喃糖盐酸盐。

3-O-[3-(Dimethylamino)propyl]-1,2-O-isopropylidene-α-D-glucofuranose hydrochloride.

抗感染药。

氨普立糖盐酸盐。

Amiprilose Hydrochloride,SM 1213,Therafection.

INN,USAN.

随便看

 

离鸟网收录3541549条中英文词条,其功能与新华字典、现代汉语词典、牛津高阶英汉词典等各类中英文词典类似,基本涵盖了全部常用中英文字词句的读音、释义及用法,是语言学习和写作的有利工具。

 

Copyright © 2004-2024 vtrois.com All Rights Reserved
更新时间:2026/4/6 18:31:02