盐酸氯康唑
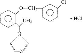
C18H15C1N2O·HCl=347.28 CAS-77174-66-4 1-[1-[邻-[(间-氯苄基)氧]苯基]烯乙基]咪唑盐酸盐。 1-[1-[o-[(m-Chlorobenzyl)oxy]phenyl]vinyl]imidazole hydrochloride. 1-[1-[2-[(3-氯苯基)甲氧]苯基]乙烯基]-1H-咪唑盐酸盐。 1-[2-[2-[(3-Chlorophenyl)methoxy]phenyl]ethenyl]-1H-imidazole hydrochloride. 抗真菌药。 用于手、足股及体部白癣(汗泡状白癣、斑状小水泡性白癣、顽癣),念球菌病(指间縻烂症、间擦疹、婴儿寄生菌性红斑、爪周炎)以及癜风等皮肤真菌病。 盐酸克罗可唑。 Cloconazole Hydrochloride,CCZ,Pilzcin,Pirutsusin,S-710674,Croconazole Hydrochloride.  |