盐酸瑞普特罗[中]
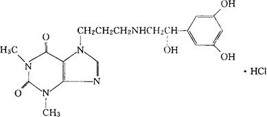
C18H23N5O5·HCl=425.87 CAS-13055-82-8 CAS-54063-54-6(reproterol) 7-[3-[(β,3,5-三羟苯乙基)氨基]丙基]茶碱盐酸盐。 7-[3-[(β,3,5-Trihydroxyphenethyl)amino]propyl]theophylline hydrochloride. 7-[3-[[2-(3,5-二羟苯基)-2-羟乙基]氨基]丙基]-3,7-二氢-1,3-二甲基嘌呤-2,6-二酮盐酸盐。 7-[3-[[2-(3,5-Dihydroxyphenyl)-2-hydroxyethyl]amino]propyl]-3,7-dihydro-1,3-dimethylpurine-2,6-dione hydrochloride. 支气管扩张药。 盐酸茶丙喘宁。 Reproterol Hydrochloride,Bronchod il,Bronchospasmin. USAN,MI.  |