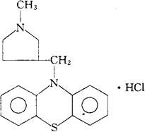
盐酸甲地拉嗪
C18H20N2S·HCl=332.89 CAS-1229-35-2 CAS-1982-37-2(methdilazine) 10-[(1-甲基-3-吡咯烷基)甲基]-10H-酚噻嗪,单盐酸盐。 10-[(1-Methyl-3-pyrrolidinyl)methyl]-10H-phenothiazine,monohydrochloride. 10-[(1-甲基-3-吡咯烷基)甲基]酚噻嗪单盐酸盐。 10-[(1-Methyl-3-pyrrolidinyl)methyl]phenothiazine monohydrochloride. 抗组胺药,止痒药。 盐酸甲地嗪。 Methdilazine Hydrochloride,Bristaline,Dilosyn,Disyncran,Tacaryl,MJ 5022. INN,BAN(Methdilazine),DCF,NFN,USAN,USP,MI.  |