盐酸米托蒽醌[中]
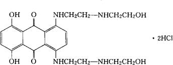
C22H28N4O6·2HCl=517.41 CAS-70476-82-3 CAS-65271-80-9(mitoxantrone) 1,4-二羟-5,8-双[[2-[(2-羟乙基)氨基]乙基]氨基]蒽醌二盐酸盐。 1,4-Dihydroxy-5,8-bis[[2-[(2-hydroxyethyl)amino]ethyl]amino]anthraquinone dihydrochloride. 抗肿瘤药。 Mitoxantrone Hydrochloride,Novantrone,CL 232,315. USAN,MI.  |