网站首页  词典首页


请输入您要查询的字词:

 

字词 盐酸米林霉素
类别 中英文字词句释义及详细解析
释义 盐酸米林霉素

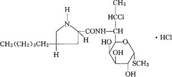
C19H35ClN2O5S·HCl=475.47

CAS-8063-91-0

CAS-37217-18-8(replaced)

CAS-31101-25-4(mirincamycin)

甲基7-氯-6,7,8-三去氧-6-[[(4-戊基-2-吡咯烷基)羰基]氨基]-1-硫代-L-苏-α-D-半乳糖-辛吡喃糖苷,单盐酸盐,(2S,顺式)与甲基7-氯-6,7,8-三去氧-6-[[(反式4-戊基-2(S)吡咯烷基)羰基]氨基]-1-硫代-L-苏-α-D-半乳糖-辛吡喃糖苷单盐酸盐的混合物。

Methyl 7-chloro-6,7,8-trideoxy-6-[[(4-pentyl-2-pyrrolidinyl)carbonyl]amino]-1-thio-L-threo-α-Dgalacto-octopyranoside,monohydrochloride,(2Scis)-mixture with methyl 7-chloro-6,7,8-trideoxy-6-[[(trans-4-pentyl-2(S)-pyrrolidinyl)carbonyl]-amino]-1-thio-L-threo-α-D-galacto-octopyranoside monohydrochloride.

甲基7-氯-6,7,8-三去氧-6-(顺-4-苯基-L-2-吡咯烷甲酰胺)-1-硫代-L-苏-α-D-半乳糖-辛吡喃糖苷单盐酸盐与甲基7-氯-6,7,8-三去氧-6-(反-4-戊基-L-2-吡咯烷甲酰胺)-1-硫代-L-苏-α-D-半乳糖-辛吡喃糖苷单盐酸盐的混合物。

Methyl 7-chloro-6,7,8-trideoxy-6-(cis-4-phenyl-L-2-pyrrolidinecarboxamido)-1-thio-L-threo-α-D-galactooctopyranoside-monohydrochloride mixture withmethyl 7-chloro-6,7,8-trideoxy-6-(trans-4-pentylL-2-pyrrolidinecarboxamido)-1-thio-L-threo-α-Dgalacto-octopyranoside monohydrochloride.

7-氯-N-去甲基-7-去氧-3′-去丙基-3′-戊基林可霉素盐酸盐。

7-Chloro-N-demethyl-7-deoxy-3′-deproyl-3′-pentyllincomycin hydrochloride.

抗菌药,抗疟药。

Mirincamycin Hydrochlo ride,U-24,729A.

USAN.

随便看

 

离鸟网收录3541549条中英文词条,其功能与新华字典、现代汉语词典、牛津高阶英汉词典等各类中英文词典类似,基本涵盖了全部常用中英文字词句的读音、释义及用法,是语言学习和写作的有利工具。

 

Copyright © 2004-2024 vtrois.com All Rights Reserved
更新时间:2026/4/7 21:00:32