盐酸米芬太尼
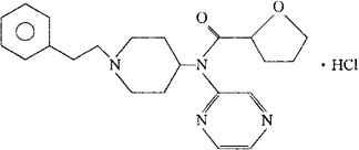
C22H24N4O2·HCl=412.92 CAS-119413-53-5 CAS-117523-47-4(mirfentanil) N-[1-(2-苯乙基)-4-哌啶基]-N-吡嗪基-2-呋喃甲酰胺单盐酸盐。 N-[1-(2-Phenylethyl)-4-piperidinyl]-N-pyrazinyl-2-furancarboxamide,monohydrochloride. N-(1-苯乙基-4-哌啶基)-N-吡嗪基-2-糠酰胺单盐酸盐。 N-(1-Phenylethyl-4-piperidyl)-N-pyrazinyl-2-furamid monohydrochloride. 镇痛药。 Mirfentanil Hydrochloride,A-3508·HCl. INN(Mirfentanil),USAN.  |