盐酸罗卡斯汀
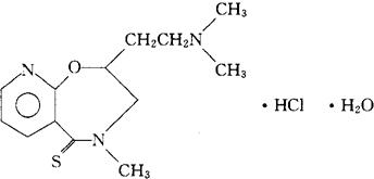
C13H19N3OS·HCl·H2O=319.85 CAS-99617-35-3 CAS-91833-77-1(rocastine) 2-[2-(二甲氨基)乙基]-3,4-二氢-4-甲基吡啶并[3,2-f]-1,4-氧氮杂 -5(2H)-硫酮,单盐酸盐,一水化合物。 2-[2-(Dimethylamino)ethyl]-3,4-dihydro-4-methylpyrido[3,2-f]-1,4-oxazepine-5(2H)-thione,monohydrochloride,monohydrate. (±)-2-[2-(二甲基氨基)乙基]-3,4-二氢-4-甲基吡啶并[3,2-f]-1,4-氧氮杂 -5(2H)-硫酮单盐酸盐一水化合物。 (±)-2-[2-(Dimethylamino)ethyl]-3,4-dihydro-4-methylpyrido[3,2-f]-1,4-oxazepine-5(2H)-thione monohydrochloride monohydrate. 抗组胺药。 盐酸柔卡斯啶。 Rocastine Hydrochloride,AHR-11325-D. INN(Rocastine),USAN.  |