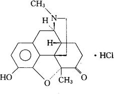
盐酸美托酮
C18H21NO3·HCl=335.82 CAS-124-92-5 CAS-143-52-2(metopon) 5-甲基二氢吗啡酮盐酸盐。 5-Methyldihydromorphinone hydrochloride. 4,5-环氧-3-羟-5,17-二甲基吗啡喃-6-酮盐酸盐。 4,5-Epoxy-3-hydroxy-5,17-dimethylmorphinan-6-one hydrochloride. 5-N-二甲基-3-羟-6-氧代-4,5-环氧吗啡喃盐酸盐。 5-N-Dimethyl-3-hydroxy-6-oxo-4,5-epoxymorphinan,hydrochloride. 镇痛药(麻醉)。 Metopon. INN & BAN(Metopon),USAN,MI.  |