网站首页  词典首页


请输入您要查询的字词:

 

字词 盐酸美沙洛尔
类别 中英文字词句释义及详细解析
释义 盐酸美沙洛尔

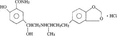
C20H24N2O5·HCl=408.88

CAS-70161-10-3

CAS-56290-94-9(medroxalol)

5-[2-[[3-(1,3-苯并二氧杂环戊烯-5-基)-1-甲基丙基]氨基]-1-羟乙基]-2-羟-苯甲酰胺,单盐酸盐。

5-[2-[[3-(1,3-Benzodioxol-5-yl)-1-methylpropyl]amino]-1-hydroxyethyl]-2-hydroxybenzamide,monohydrochloride.

5-[1-羟基-2-[[1-甲基-3-[3,4-(亚甲基二氧)苯基]丙基]氨基]乙基]水杨酰胺单盐酸盐。

5-[1-Hydroxy-2-[[1-methyl-3-[3,4-(methylenedioxy)phenyl]propyl]amino]ethyl]salicylamide monohydrochloride.

β-受体阻滞药,抗高血压药。

Medroxalol Hydrochloride,RMI 81,968 A.

INN(Medroxalol),USAN.

随便看

 

离鸟网收录3541549条中英文词条,其功能与新华字典、现代汉语词典、牛津高阶英汉词典等各类中英文词典类似,基本涵盖了全部常用中英文字词句的读音、释义及用法,是语言学习和写作的有利工具。

 

Copyright © 2004-2024 vtrois.com All Rights Reserved
更新时间:2026/5/31 15:49:03