盐酸羟考酮
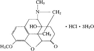
C18H21NO4·HCl·3H2O=405.88 CAS-214-90-3 4,5α-环氧-14-羟3-甲氧-17-甲基吗啡喃-6-酮盐酸盐三水化合物。 4,5α-Epoxy-14-hydroxy-3-methoxy-17-methylmorphinan-6-one hydrochloride trihydrate. (-)-14-羟二氢可待因酮盐酸盐。 (-)-14-Hydroxydihydro codeinone hydrochloride. 镇痛、镇咳药。 盐酸羟可待酮,欧可达,盐酸羟可酮(台)。 Oxycodone Hydrochloride,Eucodal. FP,GDP,JP,USAN,MI.  |