盐酸羟钴胺[中]
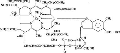
C62H89CoN13O15P·HCl=1382.83 CAS-59461-30-2 Coα-[α-(5,6-二甲基苯并咪唑基)]-Coβ-水合钴胺盐酸盐。 Coα-[α-(5,6-Dimethylbenzimidazolyl)]-Coβ-hydroxocolamide chloride. 钴啉醇酰胺二氢氧化物,单(内盐)二氢磷酸(酯)与5,6-二甲基-1-α-D-呋喃核糖基苯并咪唑形成3′-酯盐酸盐。 Cobinamide,dihydroxide dihydrogen phosphate(es ter),mono(inner salt),3′-ester with 5,6-dimethyl1-α-D-ribofuranosyl1H-benzimidazole monohydrochloride. 抗贫血药。 用于治疗恶性贫血、神经痛、肝实质损害、巨红血球贫血与接触性皮炎、氰化物中毒的解毒剂。盐酸羟钴胺,盐酸维生素B12a。 Hydroxocobalamine Hydrochloride,Vitamin B12aHydrochloide. 盐酸羟钴胺注射液(长效B12注射液)。 IP,JAN.  |