盐酸脉氟拉嗪
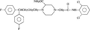
C29H30Cl2F2N4O2·2HCl·H2O=666.42 CAS-79467-24-6 3-(氨基羰基)-4-[4,4-双(4-氟苯基)丁基]-N-(2,6-二氯苯基)-1-哌嗪乙酰胺二盐酸盐一水化合物。 3-(Aminocarbonyl)-4-[4,4-bis(4-fluorophenyl)butyl]-N-(2,6-dichlorophenyl)-1-piperazineacetamide dihydrochloride monohydrate. 4-[4,4-双(对-氟苯基)丁基]-3-氨甲酰-2,6-二氯-1-哌嗪乙酰苯胺二盐酸盐,一水化合物。 4-[4,4-bis(p-Fluorophenyl)butyl]-3-carbamoyl-2,6-dichloro-1-piperazineacetanilide dihydrochloride,monohydrate. 冠脉扩张药。 盐酸米氟嗪。 Mioflazine Hydrochloride,R-51,469. USAN. 
|