盐酸脱氧土霉素[典]
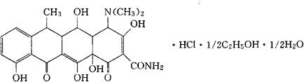
C22H24N2O8·HCl·1/2C2H5OH·1/2H2O=512.94 CAS-10592-13-9 6-去氧-5-羟四环素盐酸盐。 6-Deoxy-5-hydroxytretacycline hydrochloride. 4-二甲氨基-1,4,4a,5,5a,6,11,12a-八氢-3,5,10,12,12a-五羟-6-甲基-1,11-二氧代-2-并四苯羧酰胺盐酸盐,半分子乙醇半分子水合物。 4-(Dimethylamino)-1,4,4a,5,5a,6,11,12a-octahydro-3,5,10,12,12a-pentahydroxy-6-methyl-1,11-dioxo-2-naphthacenecarboxamide hydrochloride hemiethanolate hemihydrate. 抗生素类药。 有广谱抗菌作用。用于革兰氏阳性球菌和阴性杆菌引起的轻症感染,也可用于斑疹伤寒、羌虫病等立克次体的感染及支原体肺炎。 盐酸强力霉素,盐酸去氧土霉素,盐酸多西环素。 Doxycycline Hydrochloride. 盐酸脱氧土霉素片。 BP,JAN,JP. 
|