盐酸舍氮平
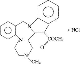
C22H23N3O2·HCl=397.90 CAS-117581-05-2 CAS-115313-22-9(serazapine) 1,3,4,16b-四氢-2-甲基-2H,10H-吲哚并[2,1-c]吡嗪并[1,2-a][1,4]苯并二氮杂噁-16-羧酸,甲酯,单盐酸盐。 1,3,4,16b-Tetrahydro-2-methyl-2H,10H-indolo[2,1-c]pyrazino[1,2-a][1,4]benzodiazepine-16-carboxylic acid,methyl ester,monohydrochloride. (±)-甲基1,3,4,16b-四氢-2-甲基-2H,10H-吲哚并[2,1-c]吡嗪并[1,2-a][1,4]苯并二氮杂噁-16-羧酸酯,单盐酸盐。 (±)-Methyl1,3,4,16b-tetrahydro-2-methyl-2H,10H-indolo[2,1-c]pyrazino[1,2-a][1,4]benzodiazepine-16 carboxylate,monohydrochloride. 抗焦虑药。 Serazapine Hydrochloride,CGS 15040A. INN(Serazapine),USAN.  |