网站首页  词典首页


请输入您要查询的字词:

 

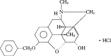
字词 盐酸苄基吗啡
类别 中英文字词句释义及详细解析
释义 盐酸苄基吗啡

C24H25NO3·HCl=411.45

3-苄氧基-7,8-去氢-4,5-环氧-6-氢-N-甲基吗啡喃盐酸盐。

3-Benzyloxy-7,8-dehydro-4,5-epoxy-6-hydro-N-methylmorphinan.

麻醉药。

盐酸苄吗啡。

Benzylmorphine Hydrochloride,Peronine.

随便看

 

离鸟网收录3541549条中英文词条,其功能与新华字典、现代汉语词典、牛津高阶英汉词典等各类中英文词典类似,基本涵盖了全部常用中英文字词句的读音、释义及用法,是语言学习和写作的有利工具。

 

Copyright © 2004-2024 vtrois.com All Rights Reserved
更新时间:2026/4/7 21:32:45