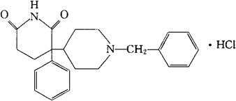
盐酸苯苄哌酮
C23H26N2O2·HCl=398.93 CAS-5633-14-7 CAS-119391-55-8(benzefimide) 3-苯基-1′-苄基-3,4′-联哌啶-2,6-二酮。 3-Phenyl-1′-benzyl-3,4′-bipiperidine-2,6-dione,monohydrochloride. 抗胆碱药。 盐酸苄替米特。 Benzetimide Hvdrochlorde,Dioxatrine,Spasmentral, MCN-JR-4929-11,R4929. INN(Benzefimide),USAN,MI.  |