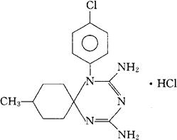
盐酸螺拉嗪
C15H20ClN5·HCl=342.27 CAS-15599-44-7(spirotriazine) 2,4-二氨基-5-(对-氯苯基)-9-甲基-1,3,5-三氮杂螺[5.5]十一-1,3-二烯盐酸盐。 2,4-Diamino-5-(p-chlorophenyl)-9-methyl-1,3,5-triazaspiro[5.5]undeca-1,3-diene hydrochloride. 抗蠕虫药。 Spirazine Hydrochloride Spirotriazine Hydrochloride. INN,USAN.  |