网站首页  词典首页


请输入您要查询的字词:

 

字词 盐酸螺普利
类别 中英文字词句释义及详细解析
释义 盐酸螺普利

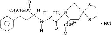
C22H30N2O5S2·HCl=503.07

CAS-94841-17-5

CAS-83647-97-6(spirapril)

[8s-[7[R*(R*)],8R*]]-7-[2-[[1-(乙氧羰基)-3-苯丙基]-氨基]-1-氧代丙基]-1,4-二硫代-7-氮杂螺

[4.4]壬烷-8-羧酸,单盐酸盐。

[8S-[7[R*(R*)],8R*]]-7-[2-[[1-(Ethoxycarbonyl)-3-phenylpropyl]amino]-1-oxopropyl]-1,4-dithia-7-azaspiro[4.4]nonane-8-carboxylic acid,monohy rochloride.

(8S)-7[(S)-N-[(S)-1-羟-3-苯丙基]丙氨酰]-1,4-二硫代-7-氮杂螺[4.4]壬烷-8-羧酸1-乙基酯,单盐酸盐。

(8S)-7[(S)-N-[(S)-1-Carboxy-3-phenylpropyl]alanyl]-1,4-dithia-7-azaspiro[4.4]nonane-8-carboxylic acid,1-ethyl ester,monohydrochloride.

抗高血压药,酶抑制药(血管紧张素转化酶抑制药)。

Spirapril Hydrochloride,Sch 33844.

INN & BAN(Spirapril),USAN.

随便看

 

离鸟网收录3541549条中英文词条,其功能与新华字典、现代汉语词典、牛津高阶英汉词典等各类中英文词典类似,基本涵盖了全部常用中英文字词句的读音、释义及用法,是语言学习和写作的有利工具。

 

Copyright © 2004-2024 vtrois.com All Rights Reserved
更新时间:2026/4/6 12:56:40