网站首页  词典首页


请输入您要查询的字词:

 

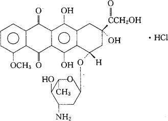
字词 盐酸表柔比星
类别 中英文字词句释义及详细解析
释义 盐酸表柔比星

C27H29NO11·HCl=579.99

CAS-56390-09-1

CAS-56420-45-2(eepirubicin)

(8S-顺式)-10-[(3-氨基-2,3,6-三去氧-α-L-阿拉伯-己吡喃糖基)氧]-7,8,9,10-四氢-6,8,11-三羟基-8-(羟基乙酰基)-1-甲氧基-5,12-并四苯二酮,盐酸盐。

(8S-cis)-10-[(3-Amino-2,3,6-trideoxy-α-L-arabinohexopyranosyl)oxy]-7,8,9,10-tetrahydro-6,8,11-trihydroxy-8-(hydroxyacetyl)-1-methoxy-5,12-naphthacenedione,hydrochloride.

(1S,3S)-3-乙醇酰-1,2,3,4,6,11-六氢-3,5,12-三羟基-10-甲氧基-6,11-二氧代-1-并四苯基的3-氨基-2,3,6-三去氧-α-L-阿拉伯-己吡喃糖苷盐酸盐。

(1S,3S)-3-Glycoloyl-1,2,3,4,6,11-hexahydro-3,5,12-trihydroxy-10-methoxy-6,11-dioxo-1-naphthacenyl 3-amino-2,3,6-trideoxy-α-L-arabino-hexopyranoside hydrochloride.

抗生素类药。

盐酸表阿霉素。

Epirubicin Hydrochloride,IMI-28,Pharmorubicin.

INN,BAN,DCIT,USAN.

随便看

 

离鸟网收录3541549条中英文词条,其功能与新华字典、现代汉语词典、牛津高阶英汉词典等各类中英文词典类似,基本涵盖了全部常用中英文字词句的读音、释义及用法,是语言学习和写作的有利工具。

 

Copyright © 2004-2024 vtrois.com All Rights Reserved
更新时间:2026/5/25 9:15:57