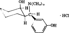
盐酸西拉马朵
C15H23NO2·HCl=285.82 CAS-63323-46-6 CAS-63269-31-8(ciramadol) [1R-[1α(R*),2α]]-(-)-3-[(二甲氨基)(2-羟环己基)甲基]苯酚盐酸盐。 1R-[1α(R*)2α]]-(-)-3-[(dimethylamino)(2-hydroxycyclohexyl)methyl]phenol,hydrochloride. (-)-(1R,2R)-20[(R)-α-(二甲氨基)-间-羟苄基]环己醇盐酸盐。 (-)-(1R,2R)-2-[(R)-α-(Dimethylamino)-m-hydroxybenzyl]cyclohexanol hydrochloride. 镇痛药。 盐酸西拉马多。 Ciramadol Hydrochloride,WY-15,705 HCI,Cindol. USAN.  |