盐酸西替利嗪[中]
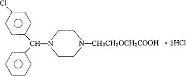
C21H25ClN2O3·2HCl=461.82 CAS-83881-52-1 CAS-83881-51-0(cetirixine) (±)[2-[4-[(4-氯苯基)苯甲基]-1-哌嗪基]乙氧]醋酸二盐酸盐。 (±)[2-[4-[(4-Chlorophenyl)phenylmethyl]-1-piperazinyl]ethoxy]acetic acid,dihydrochloride. (±)-[2-[4-(对-氯-α-苯基苄基)-1-哌嗪基]乙氧]醋酸二盐酸盐。 (±)-[2-[4-(p-Chloro-α-phenylbenzyl)-1-piperaziinyl]ethoxy]acetic acid,dihydrochloride. 抗过敏药。用于治疗呼吸、皮肤和眼睛变应,包括过敏性鼻炎、非季节性痉挛性鼻炎、慢性荨麻诊、枯草热以及眼睛瘙痒的结膜炎。 盐酸西替立嗪。 CetirizineHydrochloride,P 071,Virlex,Zyrtec. INN & BAN(Cetirizine),USAN. 
|