盐酸贝那利秦
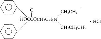
C21H27NO3·HCl=377.91 CAS-3202-55-9 CAS-22487-42-9(benapryzine) α-羟基-α-苯基-苯乙酸2-(乙基丙氨基)乙酯盐酸盐。 α-Hydroxy-α-phenyl-,benzeneacetic acid,2-(ethylpropylamino)ethyl ester hydrochloride. 2-(乙基丙氨基)乙醇二苯乙醇酸酯盐酸盐。 2-(Ethylpropylamino)ethyl benzilate hydrochloride. 抗震颤麻痹药。 Benapryzine Hydrochloride,BRL-1288. INN(Benaprizine),BAN(Benapryzine),USAN. 
|