网站首页  词典首页


请输入您要查询的字词:

 

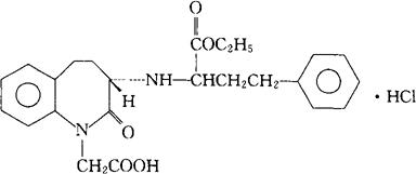
字词 盐酸贝那普利
类别 中英文字词句释义及详细解析
释义 盐酸贝那普利

C24H28N2O5·HCl=460.96

CAS-86541-74-4

CAS-86541-75-5(benazepril)

3-[[1-(乙氧基羰基)-3-苯基丙基]氨基]-2,3,4,5-四氢-2-氧-1H-1-苯并氮杂-1-醋酸单盐酸盐,[S(R*,R*)].

3-[[1-(Ethoxycarbonyl)-3-phenyl-propyl]amino]-2,3,4,5-tetrahydro-2-oxo-1H-1-benzazepine-1-acetic acid,monohydro-chloride,[S-(R*,R*)].

(3S)-3-[[(1S)-1-羧基-3-苯丙基]氨基]-2,3,4,5-四氢-2-氧-1H-1-苯并氮杂-1-醋酸,3-乙酯,单盐酸盐。

(3S)-3-[[(1S)-1-Carboxy-3-phenylpropyl]amino]-2,3,4,5 tetrahydro-2-oxo-1H-1-benzazepine-1-acetic acid,3-ethyl ester,monohydrochloride.

抗高血压药。

Benazepril Hydrochloride,CGS 14824A HCl.

INN,BAN,USAN.

随便看

 

离鸟网收录3541549条中英文词条,其功能与新华字典、现代汉语词典、牛津高阶英汉词典等各类中英文词典类似,基本涵盖了全部常用中英文字词句的读音、释义及用法,是语言学习和写作的有利工具。

 

Copyright © 2004-2024 vtrois.com All Rights Reserved
更新时间:2026/5/25 9:01:10