网站首页  词典首页


请输入您要查询的字词:

 

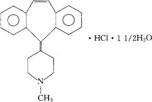
字词 盐酸赛庚啶[中]
类别 中英文字词句释义及详细解析
释义 盐酸赛庚啶[中]

C21H21N·HCl·11/2H2O=350.89

CAS-41354-29-4

CAS-129-03-3(cyprobeptadin)

4-(5H-二苯并[a,d]环庚烯-6-亚基)-1-甲基哌啶盐酸盐一又二分之一水化合物。

4-(5H-Dibenzo[a,d]cyclohepten-5-ylidene)-1-methylpepiridine hydrochloride,sesquihydrate.

抗过敏药。用于荨麻疹、湿疹、皮炎、搔痒、鼻炎、哮喘等。

Cyproheptadine Hydrochloride.

盐酸赛庚啶片。

BP,JP,NF,USAN,USP,MI.

随便看

 

离鸟网收录3541549条中英文词条,其功能与新华字典、现代汉语词典、牛津高阶英汉词典等各类中英文词典类似,基本涵盖了全部常用中英文字词句的读音、释义及用法,是语言学习和写作的有利工具。

 

Copyright © 2004-2024 vtrois.com All Rights Reserved
更新时间:2026/5/26 14:59:17