网站首页  词典首页


请输入您要查询的字词:

 

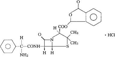
字词 盐酸酞氨西林
类别 中英文字词句释义及详细解析
释义 盐酸酞氨西林

C24H23N3O6S·HCl=517.98

CAS-39878-70-1

CAS-47747-56-8(talampicillin)

[2S-[2α,5α,6β(S*)]]-6-[(氨基苯基乙酰)氨基]-3,3-二甲基-7-氧代-4-硫杂-1-氮杂双环[3.2.0]庚烷-2-羧酸,1,3-二氢-3-氧代-1-异苯并呋喃酯,单盐酸盐。

[2S-[2α,5α,6β(S*)]]-6-[(Aminophenylacetyl)amino]-3,3-dimethyl-7-oxo-4-thia-1-azabicyclo[3.2.0]heptane-2-carboxylic acid,1,3-dihydro-3-oxo-1-isobenzofuranyl ester,monhydrochloride.

(2S,5R,6R)-6-[(R)-2-氨基-2-苯乙酰胺基]-3,3-二甲基-7-氧代-4-硫杂-1-氮杂双环[3.2.0]庚烷-2-羧酸3-羟苯酞酯,单盐酸盐。

(2S,5R,6R)-6-[(R)-2-Amino-2-phenylacetamido]-3,3-dimethyl-7-oxo-4-thia-1-azabicyclo[3.2.0]heptane-2-carboxylic acid ester with 3-hydroxyphthalide,monohydrochloride.

抗生素类药。

盐酸氨苄青霉素酞酯。

Talampicllin Hydrochloride,BRL 8988,Talpen,Yamacillin.

INN & BAN(Talampicillin),JAN,USAN.

随便看

 

离鸟网收录3541549条中英文词条,其功能与新华字典、现代汉语词典、牛津高阶英汉词典等各类中英文词典类似,基本涵盖了全部常用中英文字词句的读音、释义及用法,是语言学习和写作的有利工具。

 

Copyright © 2004-2024 vtrois.com All Rights Reserved
更新时间:2026/4/7 10:32:47