盐酸阿夫唑秦
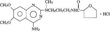
C19H27N5O4·HCl=425.92 CAS-81407=-68-1 CHS-81403-6(asfuzosin) (±)-N-[3-[(4-氨-6,7-二甲氧基-2-喹唑啉基)甲基氨]丙基]四氢-2-呋喃甲酰胺盐酸盐。 (±)-N-[3-[(4-Amino-6,7-dimethoxy-2-quina-zolinyl)methylamino]propyl]tetrahydro-2-furancarboxamide,monohydrochlorde. (±)-N-[3-[(氨基-6,7-二甲氧基-2-喹唑啉基)甲基氨基]丙基]四氢-2-糠酰胺盐酸盐。 (±)-N-[3-[(Amino-6,7-dimethoxy-2-quinazolinyl)methylamino]propyl]tetrahydro-2-furamide monohydrochloride. 抗高血压药。 Alfuzosin Hydrochloride,SL 77 499-10. INN & BAN(Alfuzosin),USAN.  |