网站首页  词典首页


请输入您要查询的字词:

 

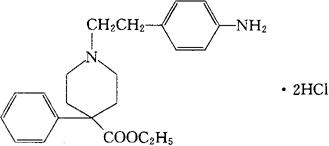
字词 盐酸阿尼利定
类别 中英文字词句释义及详细解析
释义 盐酸阿尼利定

C22H28N2O2·2HCl=425.40

CAS-126-12-5

CAS-144-14-9(anileridine)

1-[2-(4-氨基苯基)乙基]-4-苯基-4-哌啶羧酸乙酯二盐酸盐。

1-[2-(4-Aminophenyl)ethyl-4-phenyl-4-piperidinecarboxylic acid,ethyl ester,dihydrochloride.

1-(对-氨基苯乙基)-4-苯基异哌啶甲酸乙酯盐酸盐。

Ethyl 1-(p-aminophenethyl)-4-phenylisonipecotate dihydrochloride.

镇痛药。

盐酸阿尼替啶。

Anileridine Hydrochloride,Apodol Zeritine.

USAN,USP.

随便看

 

离鸟网收录3541549条中英文词条,其功能与新华字典、现代汉语词典、牛津高阶英汉词典等各类中英文词典类似,基本涵盖了全部常用中英文字词句的读音、释义及用法,是语言学习和写作的有利工具。

 

Copyright © 2004-2024 vtrois.com All Rights Reserved
更新时间:2026/4/6 21:27:37