盐酸阿米洛利
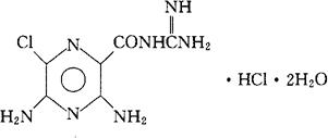
C6H8ClN7O·HCl·2H2O=302.12 CAS-17440-83-4 CAS-2016-88-8(anhydrous) CAS-2609-46-3(amiloride). 3,5-二氨基-N-(氨基亚氨基甲基)-6-氯吡嗪甲酰胺,单盐酸盐二水化合物。 3,5-Diamino-N-(aminoiminomethyl)-6-chloropyrazinecarboxamide,monohydrochloride dihydrate. N-脒基-3,5二氨基-6-氯吡嗪甲酰胺单盐酸盐二水合物。 N-Amidino-3,5-diamino-6-chloropyrazinecarboxamide monohydrochloride dihydrate. 利尿药。 盐酸脒氯嗪,盐酸脒吡嗪,盐酸氨氯吡嗪。 Amiloride Hydrochloride,Midamor. INN(Amiloride),BP,USAN,USP,MI.  |