盐酸阿糖胞苷[典]
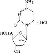
C9H13N3O5·HCl=279.68 CAS-69-74-9 CAS-147-94-4(cytarabine) 1-β-D-阿拉伯呋喃糖苷胞嘧啶单盐酸盐。 1-β-D-Arabinofuranosylcytosine hydrochloride. 抗肿瘤与抗病毒药。用于急性白血病及颈部鳞癌。 胞嘧啶阿糖苷,胞嘧啶阿拉伯糖苷盐酸盐。盐酸糖胞嘧啶。 Cytarabine Hydrochloride,Cytosine Arabinoside Monohydrochloride. 注射用盐酸阿糖胞苷。 USAN,MI.  |